根据《中华人民共和国食品安全法》及其《食品安全监督抽检和风险监测工作规范》等规定,现将香格里拉市市场监督管理局2025年第26期食品安全监督抽检信息公示如下:
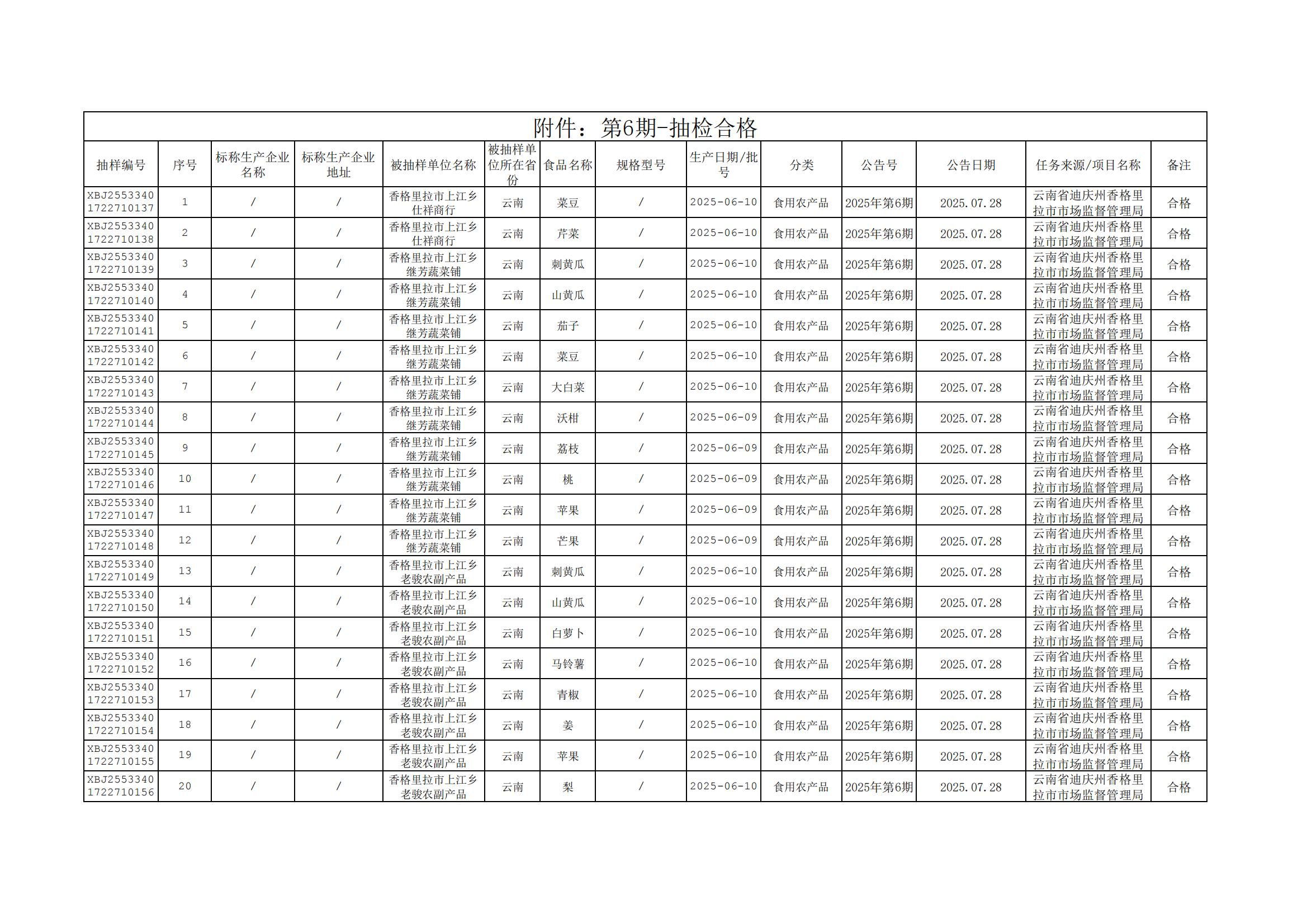
本期公布的食品安全监督抽检产品为:食用农产品,抽检依据:GB 2763-2021《食品安全国家标准 食品中农药最大残留限量》、GB 2762-2024《食品安全国家标准 食品中污染物限量》等标准要求,抽检项目包括:铅(以Pb计)、镉(以Cd计)、毒死蜱、甲胺磷、噻虫胺、噻虫嗪、氧乐果、乙酰甲胺磷、多菌灵、氯氰菊酯和高效氯氰菊酯、氯氟氰菊酯和高效氯氟氰菊酯、吡唑醚菌酯、除虫脲等指标。本次公示合格样品25批次。
附件:第6期-抽检合格;
香格里拉市市场监督管理局
2025年07月28日
附件: