根据《中华人民共和国食品安全法》及其《食品安全监督抽检和风险监测工作规范》等规定,现将香格里拉市市场监督管理局2024年第17期食品安全监督抽检信息公示如下:
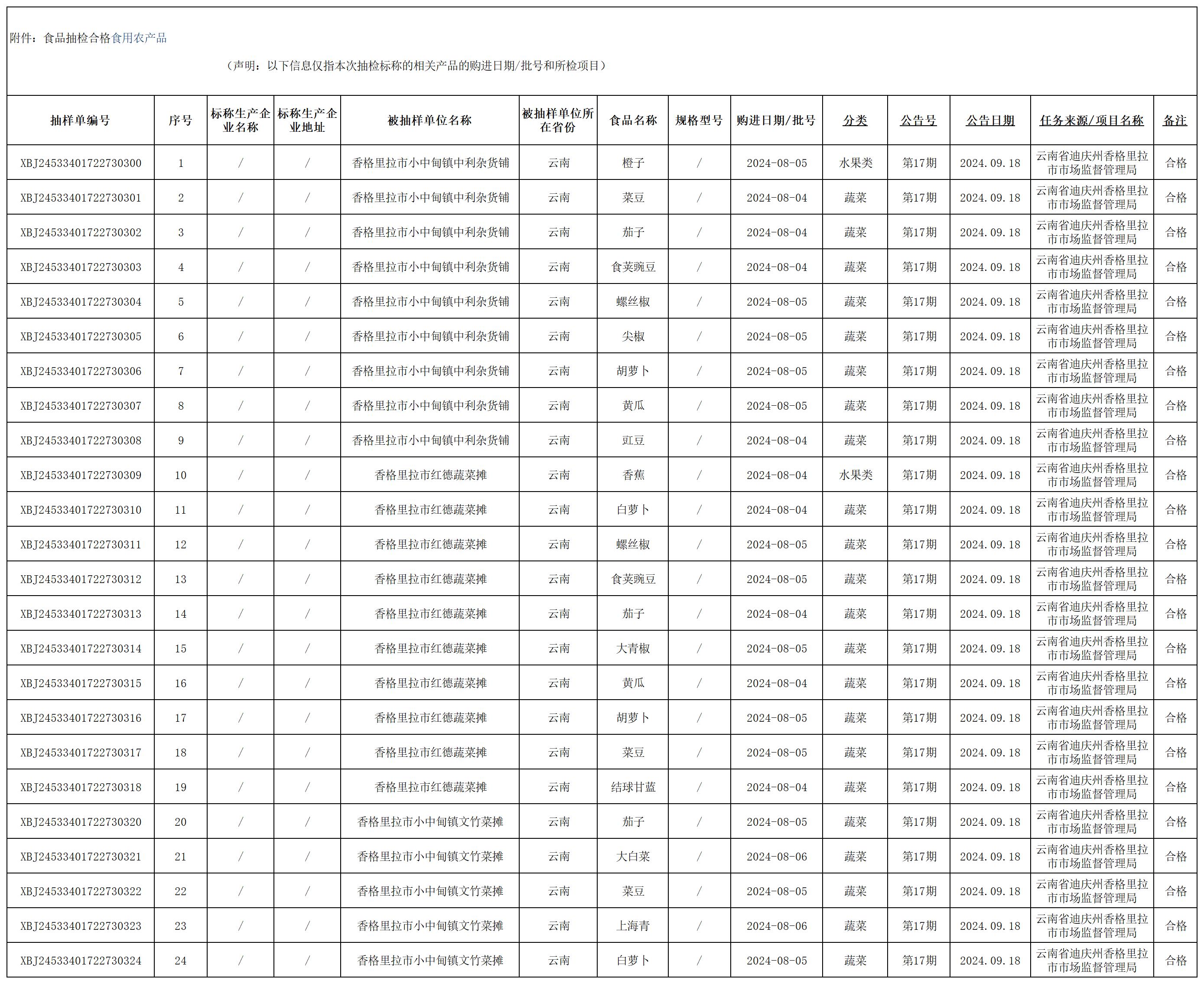
本期公布的食品安全监督抽检产品为:食用农产品,抽检依据 GB 2762-2022《食品安全国家标准 食品中污染物限量》、GB 2763-2021《食品安全国家标准 食品中农药最大残留限量》等标准要求。抽检项目包括铅(以Pb计)、镉(以Cd计)、啶虫脒、噻虫胺、噻虫嗪、氧乐果、吡虫啉、敌敌畏、毒死蜱、甲拌磷、苯醚甲环唑、丙溴磷、联苯菊酯、克百威、多菌灵、甲基对硫磷、水胺硫磷、腈苯唑、灭蝇胺、氯氟氰菊酯和高效氯氟氰菊酯等指标。公示抽检合格样品24批次,合格率100%。
附件:食品抽检合格食用农产品
(公开属性:主动公开)
香格里拉市市场监督管理局
2024年09月18日
附件: