香格里拉市市场监督管理局2022年
食品安全监督抽检信息公示
(第5期)
根据《中华人民共和国食品安全法》《食品安全监督抽检和风险监测工作规范》等规定,现将香格里拉市市场监督管理局2022年第5期食品安全监督抽检信息公示如下:
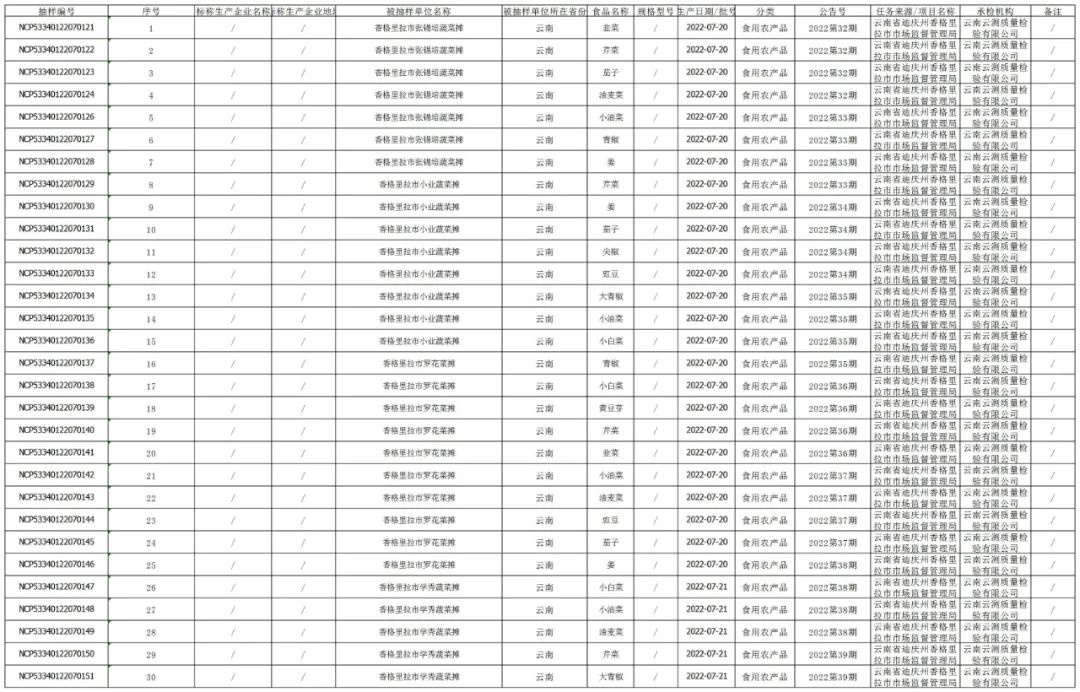
本期公布的食品安全监督抽检产品为:食用农产品,抽检依据:GB 2762-2017《食品安全国家标准 食品中污染物限量》;GB 2763-2021《食品安全国家标准 食品中农药最大残留限量》等标准要求。抽检项目包括:镉、腐霉利、铅、啶虫脒、毒死蜱、氟虫腈、阿维菌素、甲胺磷、甲拌磷、克百威、噻虫嗪、水胺硫磷、涕灭威、氧乐果、唑虫酰胺等指标。承检机构:云南云测质量检验有限公司,公告抽检样品30批次,合格样品30批次,合格率为100%。
香格里拉市市场监督管理局
2022年11月10日