本站支持IPv6/IPv4
中国政府网
云南省政府
迪庆州政府
简体
/
繁体
无障碍浏览
长者模式
+
温馨提示:2023年11月6日至2023年11月12日政府网站群进行无障碍适老化改造,若有异常,敬请谅解!
站群搜索
首 页
魅力香格里拉
新闻中心
政务公开
政务服务
互动交流
政务新媒体
当前位置
>
首页
>
新闻中心
>
通知公告
新闻中心
香格里拉要闻
部门动态
乡镇动态
通知公告
州政府信息
省政府信息
国务院信息
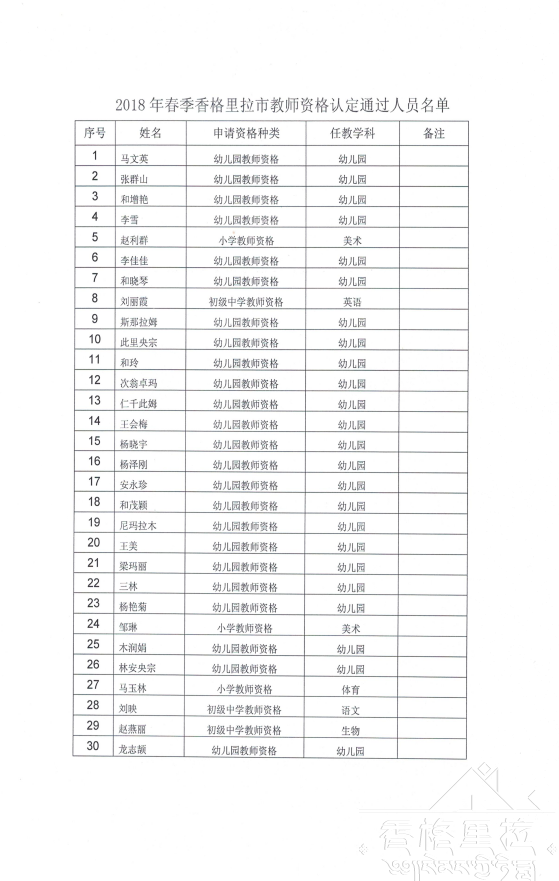
【教育体育局】2018年春季教师资格认定通过人员公告
发布时间:2018-07-04 15:36
来源:市教育局
浏览次数:3659
字体:【
大
中
小
】
打印
分享:
扫一扫在手机打开当前页面
上一篇:
【自然资源局】建塘等5个乡镇增减挂钩项目资格预审公告
下一篇:
【政务服务管理局】三坝乡政府产业采购项目更正公告